Breathalyzer Test Chemistry .  this note describes a simple experiment, suitable for a quantitative analysis course, that illustrates the chemistry of the breath. When the potassium dichormate reacts with ethanol. Understand that you can use the reaction as an analytical test to identify (primary or secondary) alcohols.  8 rows  principle: The chemistry of breath tests. The breathalyzer is a redox reaction.  drink, drugs and disease: By clare sansom 13 april 2021. Orange chromic acid reagent is added to two cylinders, one containing water, the other ethanol.  when the potassium dichromate solution in the breathalyzer™ reacts with ethanol, the potassium dichromate loses an oxygen.
        
        from www.szeek.net 
     
        
        When the potassium dichormate reacts with ethanol. Orange chromic acid reagent is added to two cylinders, one containing water, the other ethanol. The chemistry of breath tests.  drink, drugs and disease: By clare sansom 13 april 2021.  when the potassium dichromate solution in the breathalyzer™ reacts with ethanol, the potassium dichromate loses an oxygen. The breathalyzer is a redox reaction.  8 rows  principle:  this note describes a simple experiment, suitable for a quantitative analysis course, that illustrates the chemistry of the breath. Understand that you can use the reaction as an analytical test to identify (primary or secondary) alcohols.
    
    	
            
	
		 
         
    How does a Breathalyzer Tests work? 
    Breathalyzer Test Chemistry  The breathalyzer is a redox reaction.  this note describes a simple experiment, suitable for a quantitative analysis course, that illustrates the chemistry of the breath. The chemistry of breath tests.  when the potassium dichromate solution in the breathalyzer™ reacts with ethanol, the potassium dichromate loses an oxygen. The breathalyzer is a redox reaction. Orange chromic acid reagent is added to two cylinders, one containing water, the other ethanol. By clare sansom 13 april 2021. Understand that you can use the reaction as an analytical test to identify (primary or secondary) alcohols.  drink, drugs and disease: When the potassium dichormate reacts with ethanol.  8 rows  principle:
            
	
		 
         
 
    
        From scitechdaily.com 
                    COVID19 Coronavirus Breathalyzer Test Developed Breathalyzer Test Chemistry  The breathalyzer is a redox reaction.  this note describes a simple experiment, suitable for a quantitative analysis course, that illustrates the chemistry of the breath.  drink, drugs and disease:  8 rows  principle: The chemistry of breath tests. By clare sansom 13 april 2021.  when the potassium dichromate solution in the breathalyzer™ reacts with ethanol, the potassium. Breathalyzer Test Chemistry.
     
    
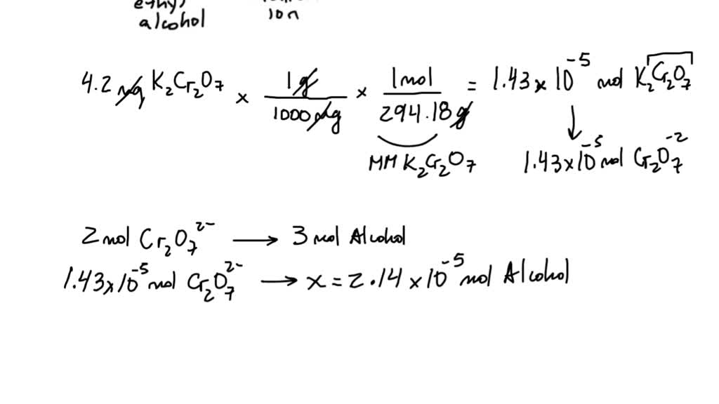
        From www.numerade.com 
                    SOLVEDA chemical "breathalyzer" test works because ethyl alcohol in Breathalyzer Test Chemistry   this note describes a simple experiment, suitable for a quantitative analysis course, that illustrates the chemistry of the breath.  when the potassium dichromate solution in the breathalyzer™ reacts with ethanol, the potassium dichromate loses an oxygen. Orange chromic acid reagent is added to two cylinders, one containing water, the other ethanol. By clare sansom 13 april 2021. When. Breathalyzer Test Chemistry.
     
    
        From www.scribd.com 
                    A Breathalyzer or Breathalyser PDF Chemistry Breathalyzer Test Chemistry   drink, drugs and disease:  8 rows  principle: When the potassium dichormate reacts with ethanol. The breathalyzer is a redox reaction.  this note describes a simple experiment, suitable for a quantitative analysis course, that illustrates the chemistry of the breath. The chemistry of breath tests. Orange chromic acid reagent is added to two cylinders, one containing water, the. Breathalyzer Test Chemistry.
     
    
        From johnmobley.com 
                    Breathalyzer Tests in South Carolina John Mobley Law Firm Breathalyzer Test Chemistry   8 rows  principle:  this note describes a simple experiment, suitable for a quantitative analysis course, that illustrates the chemistry of the breath. The chemistry of breath tests. When the potassium dichormate reacts with ethanol. Orange chromic acid reagent is added to two cylinders, one containing water, the other ethanol.  drink, drugs and disease: By clare sansom 13. Breathalyzer Test Chemistry.
     
    
        From www.scienceabc.com 
                    How Does A Breathalyzer Detect Alcohol From Your Breath? » Science ABC Breathalyzer Test Chemistry  By clare sansom 13 april 2021.  8 rows  principle: When the potassium dichormate reacts with ethanol.  when the potassium dichromate solution in the breathalyzer™ reacts with ethanol, the potassium dichromate loses an oxygen.  drink, drugs and disease: The chemistry of breath tests. Orange chromic acid reagent is added to two cylinders, one containing water, the other ethanol.. Breathalyzer Test Chemistry.
     
    
        From www.thenapierlawfirm.com 
                    Breathalyzer vs Blood Test Procedures, Accuracy, and More Breathalyzer Test Chemistry  The chemistry of breath tests. Orange chromic acid reagent is added to two cylinders, one containing water, the other ethanol. Understand that you can use the reaction as an analytical test to identify (primary or secondary) alcohols. The breathalyzer is a redox reaction.  when the potassium dichromate solution in the breathalyzer™ reacts with ethanol, the potassium dichromate loses an. Breathalyzer Test Chemistry.
     
    
        From companyclinic.net 
                    170418breathalyzertestfeature Company Clinic of Louisiana Breathalyzer Test Chemistry  The chemistry of breath tests.  when the potassium dichromate solution in the breathalyzer™ reacts with ethanol, the potassium dichromate loses an oxygen. Understand that you can use the reaction as an analytical test to identify (primary or secondary) alcohols. By clare sansom 13 april 2021. Orange chromic acid reagent is added to two cylinders, one containing water, the other. Breathalyzer Test Chemistry.
     
    
        From www.pinterest.com 
                    FDA OKs First Breath Test for COVID19 Breathalyzer, Covid19, Covid Breathalyzer Test Chemistry   8 rows  principle: Orange chromic acid reagent is added to two cylinders, one containing water, the other ethanol.  when the potassium dichromate solution in the breathalyzer™ reacts with ethanol, the potassium dichromate loses an oxygen. The chemistry of breath tests. When the potassium dichormate reacts with ethanol.  drink, drugs and disease: By clare sansom 13 april 2021.. Breathalyzer Test Chemistry.
     
    
        From breathalysers-australia.com.au 
                    How to Pass a Breathalyzer Test Breathalysers Australia Breathalyzer Test Chemistry  By clare sansom 13 april 2021.  drink, drugs and disease:  this note describes a simple experiment, suitable for a quantitative analysis course, that illustrates the chemistry of the breath. When the potassium dichormate reacts with ethanol.  when the potassium dichromate solution in the breathalyzer™ reacts with ethanol, the potassium dichromate loses an oxygen. The breathalyzer is a. Breathalyzer Test Chemistry.
     
    
        From breathalysers-australia.com.au 
                    How to Read Breathalyzer Test Results Breathalysers Australia Breathalyzer Test Chemistry  Orange chromic acid reagent is added to two cylinders, one containing water, the other ethanol.  8 rows  principle: Understand that you can use the reaction as an analytical test to identify (primary or secondary) alcohols. The chemistry of breath tests.  when the potassium dichromate solution in the breathalyzer™ reacts with ethanol, the potassium dichromate loses an oxygen. . Breathalyzer Test Chemistry.
     
    
        From blog.andatech.com.au 
                    How to use a breathalyser (the correct way) Breathalyzer Test Chemistry   this note describes a simple experiment, suitable for a quantitative analysis course, that illustrates the chemistry of the breath. By clare sansom 13 april 2021. The chemistry of breath tests. Orange chromic acid reagent is added to two cylinders, one containing water, the other ethanol.  8 rows  principle: When the potassium dichormate reacts with ethanol.  drink, drugs. Breathalyzer Test Chemistry.
     
    
        From www.medicalnewstoday.com 
                    Breathalyzer test How it works, what it measures, and accuracy Breathalyzer Test Chemistry  By clare sansom 13 april 2021. Understand that you can use the reaction as an analytical test to identify (primary or secondary) alcohols.  drink, drugs and disease: The chemistry of breath tests.  8 rows  principle: The breathalyzer is a redox reaction. Orange chromic acid reagent is added to two cylinders, one containing water, the other ethanol.  this. Breathalyzer Test Chemistry.
     
    
        From www.breatheeasyins.com 
                    Breathalyzer Tests How Do They Work and Are They Really Accurate? Breathalyzer Test Chemistry  The chemistry of breath tests. By clare sansom 13 april 2021. The breathalyzer is a redox reaction.  this note describes a simple experiment, suitable for a quantitative analysis course, that illustrates the chemistry of the breath. Orange chromic acid reagent is added to two cylinders, one containing water, the other ethanol. When the potassium dichormate reacts with ethanol. . Breathalyzer Test Chemistry.
     
    
        From wonderfulengineering.com 
                    This Is How A Breathalyzer Really Works Breathalyzer Test Chemistry  Understand that you can use the reaction as an analytical test to identify (primary or secondary) alcohols. When the potassium dichormate reacts with ethanol.  8 rows  principle:  when the potassium dichromate solution in the breathalyzer™ reacts with ethanol, the potassium dichromate loses an oxygen. Orange chromic acid reagent is added to two cylinders, one containing water, the other. Breathalyzer Test Chemistry.
     
    
        From www.slideserve.com 
                    PPT Chapter 7 Drugs PowerPoint Presentation, free download ID5611118 Breathalyzer Test Chemistry   when the potassium dichromate solution in the breathalyzer™ reacts with ethanol, the potassium dichromate loses an oxygen.  drink, drugs and disease: Understand that you can use the reaction as an analytical test to identify (primary or secondary) alcohols. The chemistry of breath tests.  this note describes a simple experiment, suitable for a quantitative analysis course, that illustrates. Breathalyzer Test Chemistry.
     
    
        From johnnygardnerlaw.com 
                    How Reliable is a Breathalyzer Test? Johnny Gardner Law, P.A. Breathalyzer Test Chemistry  Understand that you can use the reaction as an analytical test to identify (primary or secondary) alcohols. The chemistry of breath tests. By clare sansom 13 april 2021. The breathalyzer is a redox reaction. When the potassium dichormate reacts with ethanol.  when the potassium dichromate solution in the breathalyzer™ reacts with ethanol, the potassium dichromate loses an oxygen. . Breathalyzer Test Chemistry.
     
    
        From www.slideserve.com 
                    PPT Organic I Prof. Dr. Abdellatif M. Salaheldin Chemistry Department Breathalyzer Test Chemistry   8 rows  principle: When the potassium dichormate reacts with ethanol.  drink, drugs and disease: Understand that you can use the reaction as an analytical test to identify (primary or secondary) alcohols. By clare sansom 13 april 2021. Orange chromic acid reagent is added to two cylinders, one containing water, the other ethanol. The breathalyzer is a redox reaction.. Breathalyzer Test Chemistry.
     
    
        From offtherecord.com 
                    The Breathalyzer Test Guide How Breathalyzers Work Blood Alcohol Level Breathalyzer Test Chemistry  The breathalyzer is a redox reaction.  8 rows  principle:  this note describes a simple experiment, suitable for a quantitative analysis course, that illustrates the chemistry of the breath.  when the potassium dichromate solution in the breathalyzer™ reacts with ethanol, the potassium dichromate loses an oxygen. Orange chromic acid reagent is added to two cylinders, one containing water,. Breathalyzer Test Chemistry.